Overslaan naar inhoud

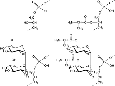
Native lipoteichoic acid - 1 mg

https://www.gentaur.be/web/image/product.template/8052/image_1920?unique=325b45d
(0 beoordeling)

0,00 € 0.0 EUR 0,00 € Exclusief btw

info@gentaur.com

    Deze combinatie bestaat niet.

    Algemene voorwaarden
    30-dagen geld terug garantie
    Verzending: 2 tot 3 weken

    Origin species: Bacteria

    From: Liquid

    Concentration: ~1.0 mg/ml

    Reconstitution and Storage: Store at -20C.
    Storage in frost-free freezers is not recommended.
    This product should be stored undiluted. Avoid repeated freezing and thawing as this may denature the antigen. Should this product contain a precipitate we recommend microcentrifugation before use. *Please note that this product has a shelf life of 2 months from date of shipment.